Häufig gestellte Fragen (FAQ)
Hier finden Sie Antworten auf häufig gestellte Fragen zur Förderrichtlinie Bundesförderung Industrie und Klimaschutz Modul 1: Dekarbonisierung der Industrie.
-
Factsheet Bundesförderung Industrie und Klimaschutz
(531 KB, PDF)
PDF hier herunterladen
1. Förderprogramm und -vorhaben
-
Die „Bundesförderung Industrie und Klimaschutz“ (BIK) ist eine neue Förderrichtlinie des BMWE, die am 23. August 2024 veröffentlicht wurde. Sie ergänzt als Nachfolger des Programms „Dekarbonisierung in der Industrie“ (DDI) das Förderangebot des BMWE und ermöglicht branchen- und technologieoffen kleineren und mittelgroßen Transformationsvorhaben die Umsetzung. Die BIK tritt damit vor allem neben das Instrument der Klimaschutzverträge und adressiert zielgenau den Mittelstand. BIK und Klimaschutzverträge sind aufeinander abgestimmt und können nicht kumuliert werden. Im Rahmen der BIK können u. a. Dekarbonisierungsvorhaben von bis zu 200 Millionen Euro gefördert werden. Bei Fördersummen von mehr als 15 Millionen Euro besteht ein Kofinanzierungserfordernis der Bundesländer im Umfang von 30 Prozent.
Das Förderprogramm soll bis 2030 laufen und wird operativ umgesetzt durch jährliche Förderwettbewerbe.
Die BIK besteht inhaltlich aus zwei Fördermodulen. Modul 1 für Dekarbonisierungsvorhaben der Industrie und Modul 2 für CCU/CCS-Vorhaben.
Die Finanzierung erfolgt durch den Klima- und Transformationsfonds (KTF).
Die beihilferechtliche Grundlage für die BIK-Förderrichtlinie bildet die Genehmigung der Europäischen Kommission vom 10. April 2024 (SA. 10829) zum Modul 1 Teilmodul 2. Basis für diese Förderung von Investitionsvorhaben von bis zu 200 Millionen Euro bildet Ziffer 81 des Temporary Crisis and Transition Framework (TCTF). Für die übrigen Module der BIK (Modul 1 Teilmodule 1 und 3 sowie Modul 2 Teilmodule 1 und 2) bildet die sog. Allgemeine Gruppenfreistellungsverordnung (AGVO) die beihilferechtliche Grundlage. Die AGVO regelt, dass bestimmte staatliche Fördermaßnahmen von den Mitgliedstaaten ohne weitere Genehmigung durch die Europäische Kommission umgesetzt werden können.
-
Die BIK führt die Förderung von innovativen Dekarbonisierungsvorhaben in der Industrie fort und knüpft an das Vorgängerprogramm „Dekarbonisierung in der Industrie“ (DDI) an, welches von 01.01.2021 bis 31.12.2023 lief. Die BIK erweitert im Vergleich zum DDI das Förderangebot und bietet für innovative klein- bis mittelgroße Vorhaben des industriellen Mittelstands ein passendes Förderangebot. Der Fokus des Programms liegt auf der kurzfristigen, direkten CAPEX-Förderung für die Industrie und der Förderung notwendiger Forschungs- und Entwicklungsarbeit.
Das Förderprogramm „Klimaschutzverträge“ (KSV) bietet Industrieunternehmen dagegen einen lang angelegten Absicherungsmechanismus nicht nur für CAPEX, sondern auch für OPEX-Kosten von ambitionierten Vorhaben der Produktionsumstellung. Das BMWE setzt mit den KSV einen Anreiz klimafreundliche Produktionsanlagen zu errichten und diese unter den aktuellen Marktbedingungen wirtschaftlich betreiben zu können. Vorhaben, die eine KSV-Förderung erhalten, können keine BIK-Förderung in Anspruch nehmen. Beide Programme sind aufeinander abgestimmt. Eine Kumulierung beider Programme ist damit ausgeschlossen.
Das BMWE bietet mit dem 8. Energieforschungsprogramm (EFP) zur angewandten Energieforschung ein Programm, das Technologieentwicklungen zur Senkung des Energieverbrauchs und die Nutzung erneuerbarer Energien in der Industrie fördert. Fokus ist die Transformation des gesamten Energiesystems, demnach spielen auch Sektorenkopplung und systemdienliche Energienutzung eine Rolle. Das 8. EFP verfolgt einen auf die Energie fokussierten, breiten Forschungsansatz. Die BIK legt dagegen den Fokus auf die Industrie, Technologien mit mindestens 40 Prozent Emissionseinsparung in der konkreten Anwendung zu fördern.
Neben den Förderprogrammen der Bundesregierung bietet der EU-Innovationsfonds ein Finanzierungsinstrument auf EU-Ebene für innovative CO2-arme Technologien und deren Kommerzialisierung. Die EU-Kommission schafft damit die Voraussetzungen, bis 2050 ein klimaneutrales Europa zu erreichen und die Verpflichtungen aus dem Pariser Klimaabkommen zu erfüllen. Weiterführende Informationen zum Antragsverfahren erhalten Sie bei der Nationalen Kontaktstelle (NKS) EU-Innovationsfonds.
Weitere bundesweite Förderprogramme mit einer Kurzzusammenfassung ihrer Kriterien finden Sie im Förderwegweiser des Kompetenzzentrums Klimaschutz in energieintensiven Industrien (KEI).
-
Die operative Umsetzung erfolgt durch zwei Projektträger, die im Auftrag des Bundesministeriums für Wirtschaft und Energie (BMWE) agieren und die als Ansprechpartner für Unternehmerinnen und Unternehmer zur Verfügung stehen.
Die BIK besteht aus den bereits genannten zwei Modulen, dem Dekarbonisierungsmodul und dem Modul CCU/CCS.
Das Dekarbonisierungsmodul (Modul 1) baut auf dem Vorgängerprogramm der „Dekarbonisierung in der Industrie“ (DDI) auf. Zuständiger Projektträger und Ansprechpartner hier ist das Kompetenzzentrum Klimaschutz in energieintensiven Industrien (KEI, Karl-Liebknecht-Straße 33, 03046 Cottbus). Die Verfahren der Skizzen- und Antragsprüfung, Auswahl sowie Vorhabenbegleitung und -abschluss erfolgen unter Beteiligung des Umweltbundesamtes (UBA, Wernerstraße 19, 03046 Cottbus).
Das Modul CCU/CCS (Modul 2) wird vom Projektträger Jülich (PtJ, Geschäftsbereich Erneuerbare Energien/Kraftwerkstechnik, 52425 Jülich) im Auftrag des BMWE umgesetzt.
Bewilligungsbehörde und Fördermittelgeber ist das Bundesministerium für Wirtschaft und Energie (BMWE, Abteilung IV Industriepolitik, Hannoversche Straße 28 - 30, 10115 Berlin).
Nähere Informationen und Ansprechpartner finden Sie hier.
Informationen zum Modul 1 der Förderrichtlinie finden Sie hier.
Informationen zu Modul 2 sind hier zu finden. -
Die Förderrichtlinie beinhaltet 2 Module. Im Überblick stellt sich die BIK damit wie nachfolgend dar:
Copyright: KEI
Modul 1: Dekarbonisierung der Industrie
Das erste Modul ist das Dekarbonisierungsmodul. Angesprochen werden alle Industrieunternehmen, die Anlagen mit industriellen Prozessen planen oder betreiben und mindestens 40 Prozent ihrer CO2-Emissionen in der Produktion durch die Investition oder das Forschungsvorhaben einsparen wollen. Die potenziellen Zuwendungsempfänger müssen eine Betriebsstätte oder Niederlassung in Deutschland haben, da auch das Vorhaben in Deutschland umgesetzt werden muss. Beispielhaft sind die Unternehmen der energieintensiven Grundstoffindustrie erfasst, wie beispielsweise Chemische Grundstoffindustrie, Stahl- sowie Gießereiindustrie, Glasindustrie, Keramikindustrie, Papier- und Zellstoffindustrie, Zement- sowie Kalkindustrie. Sie ist aber ausdrücklich nicht darauf beschränkt.
Modul 1 betrifft Dekarbonisierungsvorhaben im Industriesektor, die Treibhausgasemissionen dauerhaft reduzieren. Es besteht aus drei Teilmodulen:
- Teilmodul 1: Investitionsvorhaben auf Basis von Art. 36 Allgemeine Gruppenfreistellungsverordnung (AGVO)
- Teilmodul 2: Investitionsvorhaben, die Wasserstoff oder daraus gewonnene Brennstoffe nutzen oder Produktionsprozesse elektrifizieren auf Basis von Ziffer 81 Temporary Crisis and Transition Framework (TCTF)
- Teilmodul 3: Forschungs- und Entwicklungsvorhaben auf Basis von Art. 25 Allgemeine Gruppenfreistellungsverordnung (AGVO)
Das Modul 1 wird im Auftrag des BMWE vom Projektträger KEI betreut.
Modul 2: Förderung von CCU/CCS
Daneben gibt es das Fördermodul 2, mit dem CCU/CCS-Vorhaben gefördert werden können. Im Einklang mit den Eckpunkten der Carbon-Management-Strategie, die am 29.05.2024 im Kabinett verabschiedet wurden und die den Umgang Deutschlands mit der Abscheidung, Speicherung und Nutzung von CO2 (CCU/CCS) definieren, gibt es eine Fördermöglichkeit für CCU/CCS-Investitions- und Innovationsvorhaben. Die Förderung ist auf schwer vermeidbare CO2-Emissionen beschränkt. Investitionsvorhaben sind im ersten Förderaufruf auf die Sektoren Kalk, Zement und thermische Abfallbehandlung beschränkt; Innovationsvorhaben können auch zusätzlich in den Sektoren Grundstoffchemie, Glas und Keramik gefördert werden. Damit leistet die BIK einen ersten Beitrag zur Umsetzung der Eckpunkte der Carbon-Management-Strategie.
Investitionsvorhaben sind mit bis zu 30 Millionen Euro förderfähig; industrielle Forschungsvorhaben mit bis zu 35 Millionen Euro.
Im Modul 2 werden Vorhaben der Industrie und Abfallwirtschaft zur Anwendung und Umsetzung von CCU und CCS gefördert. Es besteht aus zwei Teilmodulen:
- Teilmodul 1: Investitionsvorhaben auf Basis von Art. 36 Allgemeine Gruppenfreistellungsverordnung (AGVO)
- Teilmodul 2: Innovationsvorhaben (anwendungsorientierte Forschung und Entwicklung) auf Basis von Art. 25 Allgemeine Gruppenfreistellungsverordnung (AGVO)
Modul 2 wird vom Projektträger Jülich betreut. (Siehe hierzu auch die gesonderte FAQ Liste Modul 2).
-
Im Modul 1 werden Dekarbonisierungsvorhaben gefördert, die Treibhausgasemissionen im Industriesektor möglichst weitgehend und dauerhaft reduzieren. Die geförderten Vorhaben zeichnen sich durch einen hohen Innovations- und Demonstrationscharakter aus und sollen modellhaft auf andere Unternehmen übertragbar sein.
Das Modul 2 deckt Vorhaben der Industrie und der Abfallwirtschaft ab, die auf den Einsatz oder die Entwicklung von CCU und CCS (Carbon Capture and Utilization bzw. Storage) abzielen. Dabei muss es sich um schwer vermeidbare Emissionen handeln. CCU/CCS-Vorhaben sind ausschließlich in Modul 2 förderfähig.
Wenn ein Vorhaben aus mehreren Vorhabenbestandteilen besteht, die inhaltlich zum Teil Modul 1 und zum Teil Modul 2 zuzuordnen sind, so ist das Vorhaben in die beiden Bestandteile aufzuteilen (und zwei einzelne Skizzen sowie Anträge zu erstellen), wenn auch die Umsetzung der jeweiligen Teilvorhaben ohne das andere Teilvorhaben erfolgen würde. Ist eine Umsetzung der einzelnen Teilvorhaben aus Modul 1 bzw. Modul 2 nicht möglich oder sinnvoll, so ist das Vorhaben als Ganzes dem Modul zuzuordnen, das den höheren Wertumfang hat.
-
Ja, neben Investitionsvorhaben sind auch Forschungs- und Entwicklungsvorhaben förderfähig. Das Teilmodul 3 des Moduls 1 beschreibt die Förderung von Forschungs- und Entwicklungsvorhaben. Dabei wird keine Grundlagenforschung gefördert, sondern industrienahe Forschung und Entwicklung, die dem geforderten Entwicklungsstand entspricht (Technologiereifegrad (TRL) 4 – 8, siehe die nachfolgende Frage zu Details).
Dies beinhaltet auch industriell unerprobte Technologien, die am Standort eines antragsberechtigten Unternehmens aufgebaut und gemeinschaftlich mit z. B. einer Universität betrieben werden sollen. Hierbei ist zu beachten, dass falls das Vorhaben so erfolgreich verläuft, dass die Anlage nach Ende des Vorhabens weiter betrieben werden soll, so kann das in Absprache mit dem Projektträger realisiert werden. Es kann in diesem Fall zu Rückforderungen von Fördermitteln kommen, falls die Lebensdauer der Anlage und damit die Abschreibungsdauer verlängert wird.
-
Der für eine Beteiligung am Förderverfahren notwendige Entwicklungsstand wird anhand des sogenannten „Technology Readiness Level“ (TRL) bemessen und muss ≥TRL 4 und ≤TRL 8 liegen. Die begründete Einordnung wird vom Förderinteressierten vorgenommen und vom Projektträger geprüft.
Der TRL ist beschrieben durch die Europäische Kommission (s. SWD (2018) 307 final) und dient der Bewertung des Entwicklungsstandes neuer Technologien auf einer Skala von 1 bis 9:- TRL 1 Grundprinzipien beobachtet
- TRL 2 Technologiekonzept formuliert
- TRL 3 Experimenteller Nachweis des Konzepts erfolgt
- TRL 4 Technologie im Labor überprüft
- TRL 5 Technologie in relevanter Umgebung überprüft (bei Schlüsseltechnologien im industrieorientierten Umfeld)
- TRL 6 Technologie in relevanter Umgebung getestet (bei Schlüsseltechnologien im industrieorientierten Umfeld)
- TRL 7 Test eines System-Prototyps im realen Einsatz erfolgt
- TRL 8 System ist komplett und qualifiziert
- TRL 9 System funktioniert in operationeller Umgebung (bei Schlüsseltechnologien wettbewerbsfähige Fertigung)
-
Ein Förderinteressent muss Anlagen zur Durchführung von industriellen Prozessen betreiben oder planen, um antragsberechtigt zu sein. Die im Rahmen eines Vorhabens förderfähigen Kosten können neben einer vollwertigen industriellen Produktionsanlage auch unter anderem (insbesondere bei Forschungs- und Entwicklungsvorhaben – Modul 1, Teilmodul 3) Pilot- und Demonstrationsanlagen abdecken.
Eine Anlage ist eine technologische Einheit, die einen oder (wenn nicht trennbar) mehrere Prozessschritte abdeckt. Ein Prozess beschreibt in der Regel einen bzw. eine Abfolge standardisierter Fertigungsschritte, durch die ein marktfähiges Gut erzeugt wird. Beispiele wären aus der Ziegelindustrie: Aufbereiten und Mischen der Rohstoffe, Formen, Trocknen der Rohlinge, Brennen der Ziegel, Fertigstellung des Produkts, Abgasreinigung.
-
Eine Bestandsanlage ist ein bestehendes Werk an einem Produktionsstandort. Als Neu-Anlage bzw. Greenfield-Investition wird die Errichtung eines neuen zusätzlichen Werks betrachtet. Greenfield-Investitionen sind nur im Teilmodul 1 möglich, während sie im Teilmodul 2 generell ausgeschlossen sind.
Bei der Umstellung des Prozesses im Rahmen der Vorhabendurchführung wird die Steigerung der Gesamtproduktionskapazität nicht finanziert. Ein geringfügiger technisch bedingter Zuwachs an Kapazität wird dabei toleriert.
Beispiel: Es wird eine Anlage betrieben, die fossil beheizt wird. Der Ersatz durch eine hybride (Strom/Gas) Anlage ist förderfähig und wird nicht als neue Anlage mit fossilem Brennstoffeinsatz betrachtet, da kein zusätzliches Werk errichtet wird und lediglich eine Umstellung erfolgt. Voraussetzung für die Förderung ist, dass die erforderliche THG-Einsparung erreicht wird und Produktionskapazität und fossiler Verbrauch nicht erhöht werden.
-
Das Einreichen sich gegenseitig ausschließender (oder sich überschneidender) Varianten ist nicht zulässig. Jede Skizze muss für sich allein umsetzbar sein und die verlangte Einsparung erzielen.
Beispiel: Es ist somit zulässig, eine Skizze für Vorhabenteil 1 (Treibhausgas-Einsparung 45 Prozent) und eine Skizze für Vorhabenteil 2 (Treibhausgas-Einsparung 55 Prozent) einzureichen (z. B. weil der Förderinteressent von einer schlechteren Bewertung für Vorhaben 2 und damit einer besseren Bewertung für Vorhaben 1 allein als der Gesamtbewertung ausgeht). Aufgrund der Einzelbewertung entfällt jedoch die Möglichkeit der Erhöhung der Förderintensität bei einer vollständigen Verringerung der Treibhausgasemissionen. (s. BIK 5.5.1 (1))
-
Die Förderrichtlinie enthält für Investitionsvorhaben eine Klausel zum Standorterhalt. Zuwendungsempfänger müssen die geförderten Anlagen nach Abschluss der Vorhaben mindestens fünf Jahre bzw. entsprechend ihrer angegebenen Nutzungsdauer im betreffenden Gebiet erhalten. Bei kleinen und mittleren Unternehmen gelten mindestens drei Jahre als verpflichtend.
Die Ersetzung von defekten Anlagen im Mindestzeitraum ist möglich, die Gewährung weiterer Beihilfen für die Ersetzung dieser Anlagen jedoch nicht. (s. BIK 5.2 (6))
Nur für das Teilmodul 2 und ein beantragtes Fördervolumen von mehr als 30 Millionen Euro gilt: Mit dem Antrag (nicht in der Skizzenphase) muss ein tragfähiges Konzept zum Standorterhalt und zur Beschäftigungsentwicklung in Bezug auf das transformative Produktionsverfahren eingereicht werden.
2. Zielgruppen
-
Unternehmen, die sich um eine Beihilfe im Rahmen des Förderprogrammes „Bundesförderung Industrie und Klimaschutz“ bewerben wollen, gelten bis zum Abschluss der Skizzenphase als Förderinteressierte. In der nächsten Phase des Prozesses (Antragsphase) werden sie zu Antragstellenden.
Mit Abschluss der Antragsprüfung durch das KEI und anschließender Bewilligung durch das BMWE gelten die Unternehmen als Zuwendungsempfänger*innen.
-
Unternehmen, die Anlagen zur Durchführung von industriellen Prozessen planen oder betreiben, sind antragsberechtigt. Gemäß BIK 1 (2) sowie BIK 5.1 (2) zielt die Förderrichtlinie auf die Dekarbonisierung der Produktion ab. Die antragstellenden Unternehmen müssen also auch eine eigene industrielle Produktion aufweisen. Dienstleister wie Betreiber von Gasspeichern, Transportunternehmen oder Stadtwerke fallen nicht unter dieses Kriterium.
Die Zuwendungsempfänger müssen eine Betriebsstätte oder Niederlassung in Deutschland haben, da auch das Vorhaben in Deutschland umgesetzt werden muss. Explizit genannt werden in der BIK die Unternehmen der energieintensiven Grundstoffindustrie (wie Chemische Grundstoffindustrie, Stahl- sowie Gießereiindustrie, Glasindustrie, Keramikindustrie, Papier- und Zellstoffindustrie, Zement- sowie Kalkindustrie), sie ist aber ausdrücklich nicht darauf beschränkt.
Nicht antragsberechtigt sind Unternehmen, die offene Rückforderungsanordnungen der EU oder des BMWE aufweisen, Unternehmen in Schwierigkeiten oder von EU-Sanktionen betroffen sind. (s. BIK 4. (8))
Vorhaben sind nicht förderfähig, wenn mindestens einer der nachfolgenden Punkte auf das Vorhaben zutrifft (s. BIK 5.1 (3)):
- Gesamtinvestitionskosten unterhalb 500.000 Euro (kleine und mittlere Unternehmen) bzw. unterhalb 1 Million Euro (alle anderen Unternehmen)
- nicht-innovatives Vorhaben (verwendet ausschließlich Technologien, die bereits im Einsatzsektor verfügbar sind und genutzt werden)
- Treibhausgas-Minderung wird durch Reduktion der Produktion erzielt
- Neuerrichtung von Anlagen, Investitionen in Ausrüstung und Maschinen, in denen fossile Energieträger rein energetisch eingesetzt werden
- Wärmenetze (mit Ausnahme der Wärmeversorgung von Produktionsanlagen und Gebäuden)
- Anlagen zur Erzeugung und Speicherung von elektrischer Energie
- Anlagen zur Produktion von Wasserstoff/daraus gewonnener Energieträger, die nicht von einem der Zuwendungsempfänger genutzt werden
- Maßnahmen zu Energie-/Ressourceneffizienz, Leichtbau
- energetischer Einsatz von Biomasse (Fremdbezug)
- Treibhausgas-Emissionen werden lediglich in einen anderen Sektor verschoben
Investitionsvorhaben in den Teilmodulen 1 und 2 müssen darüber hinaus die Scope 1 Emissionen um mindestens 40 Prozent reduzieren. (s. BIK 5.3.1 (1) und 5.3.2 (1)) Scope 1 Emissionen im Sinne des europäischen ETS sind direkte Emissionen, die direkt aus den Aktivitäten des Unternehmens stammen, wie z. B. Abgase aus dem Betrieb von Maschinen. Diese Emissionen werden normalerweise durch den Einsatz von fossilen Brennstoffen wie Kohle, Öl oder Gas verursacht.
Diese Kriterien gelten für alle beteiligten Unternehmen, unabhängig von deren Größe, also auch für Start-ups. Besonderheiten und Ausnahmen kann es in Konsortien geben, siehe dazu die nächste Frage.
-
Ja, sogenannte Konsortien sind möglich. Bei Investitionsvorhaben (BIK Modul 1, Teilmodule 1 und 2) müssen Konsortien ausschließlich aus antragsberechtigten Unternehmen bestehen. Bei Forschungs- und Entwicklungsvorhaben (BIK Modul 1, Teilmodul 3) muss mindestens ein antragsberechtigtes Unternehmen im Konsortium sein.
Die Förderinteressierten können eine gemeinsame Skizze einreichen, solange die formalen Kriterien zur Antragsberechtigung von jedem Konsortialpartner einzeln dargestellt werden und so überprüft werden können.
In der Antragsphase stellt ein Unternehmen den Dach-Antrag, aber jedes Mitglied des Konsortiums wird Zuwendungsempfänger und reicht einen separaten Förderantrag ein. Die Zusammenarbeit wird in einer Kooperationsvereinbarung geregelt und sichert zu, dass die einzelnen Teilvorhaben effektiv ineinandergreifen und die Ergebnisse zusammengeführt werden. Eine grundsätzliche Übereinkunft über die Aufgabenverteilung ist bereits vor einer Förderentscheidung zu treffen und darzulegen. (s. BIK 5.4 (3))
Folgende wichtige Begrifflichkeiten sind zu beachten:
Projektgesellschaft: Ist ein eigenständiges und rechtlich selbständiges Unternehmen, das nur für ihre Vorhabenidee durch einen oder mehrere Unternehmen gegründet wird, die wiederum den Kriterien der Förderrichtlinie entsprechen.
Partner im Unterauftrag: Ein antragsberechtigtes Unternehmen entwickelt gemeinsam mit einem Partnerunternehmen, das nicht von der Förderrichtlinie erfasst ist, ein Vorhaben. Das antragsberechtigte Unternehmen bindet das Partnerunternehmen im Unterauftrag ein und fungiert als zentraler Ansprechpartner für den Fördermittelgeber.
-
Hochschulen, Universitäten und andere Forschungseinrichtungen können unter Leitung eines antragsberechtigten Unternehmens als Partner eingebunden werden. Bei Investitionsvorhaben (Teilmodule 1 und 2) muss jeder Antragsteller die Kriterien der Antragsberechtigung erfüllen, weshalb hier lediglich eine Beteiligung als Auftragnehmer möglich wäre. Bei Vorhaben der Forschung und Entwicklung (Teilmodul 3) ist lediglich der Dach-Antrag idealerweise von einem antragsberechtigten Unternehmen zu stellen, hier könnte eine Forschungseinrichtung selbst als Antragsteller im Konsortium auftreten. Für die Ermittlung der maximalen Förderquote würde diese dabei wie ein Unternehmen behandelt werden. Aufschläge sind entsprechend BIK 5.5.3 (3) möglich.
Im Skizzenverfahren reicht in allen Fällen eine gemeinsame Skizze durch ein antragsberechtigtes Unternehmen, in der Antragsphase muss jeder beteiligte Partner einen eigenen Antrag stellen. (s. FAQ „Können Vorhaben von mehreren Förderinteressierten durchgeführt werden, d. h. können Konsortien gebildet werden?“)
-
Ja, das ist möglich. Das Vorhaben muss in Deutschland umgesetzt werden, bei grenzüberschreitenden Vorhaben sind nur die in Deutschland geplanten Investitionen förderfähig. Internationale Partner können als Auftragnehmer an Vorhaben beteiligt werden.
-
Ja, die Vorhaben müssen lediglich klar voneinander abgegrenzt sein.
-
Die Definition für kleine, mittlere (KMU) sowie große Unternehmen basiert auf Anhang I der Allgemeinen Gruppenfreistellungsverordnung (AGVO). Es gelten konkret folgende Kriterien:
Kleinstunternehmen
Zahl der Mitarbeitenden < 10
Jahresumsatz ≤ 2 Millionen Euro
Kleine Unternehmen
Zahl der Mitarbeitenden < 50
Jahresumsatz ≤ 10 Millionen Euro
Mittlere Unternehmen
Zahl der Mitarbeitenden < 250
Jahresumsatz ≤ 50 Millionen Euro
Große Unternehmen
Zahl der Mitarbeitenden ≥ 250
Jahresumsatz ≥ 50 Millionen Euro
Die Angaben, die für die Berechnung der Mitarbeiterzahl und der finanziellen Schwellenwerte herangezogen werden, beziehen sich auf den letzten Rechnungsabschluss und werden auf Jahresbasis berechnet. Der Umsatz ist der Nettoumsatz. Für die Arbeit von Personen, die nicht das ganze Jahr gearbeitet haben oder die im Rahmen einer Teilzeitregelung tätig waren, und für Saisonarbeit wird der jeweilige Bruchteil an Jahresarbeitsentgelt (JAE) gezählt.
Handelt es sich um ein eigenständiges Unternehmen, beziehen sich diese Größenmerkmale auf das einzelne Unternehmen. Ist das Unternehmen nicht eigenständig, so werden die Daten der eventuell vorhandenen Partnerunternehmen des betroffenen Unternehmens, die diesem unmittelbar vor- oder nachgeschaltet sind, hinzugerechnet. Die Anrechnung erfolgt proportional zu dem Anteil der Beteiligung am Kapital oder an den Stimmrechten (wobei der höhere dieser beiden Anteile zugrunde gelegt wird).
Die genauen Details, z. B. zur Einstufung als eigenständiges Unternehmen, sind ebenfalls dem Anhang I der AGVO zu entnehmen.
Ergänzend gilt: Gehört die Mehrheit der Anteile großen Unternehmen, wird unabhängig von der Höhe der einzelnen Beteiligungsquoten kein KMU-Zuschlag gewährt.
3. Energieträger und Emissionsfaktoren
-
In den Teilmodulen 1 (s. BIK 5.3.1 (1)) und 2 (s. BIK 5.3.2 (1)) wird eine Minderung der Scope 1 Treibhausgas-Emissionen in Höhe von mindestens 40 Prozent verlangt. Diese sind mit Abschluss des Vorhabens zu erreichen und nachzuweisen. (s. auch FAQ Berichtswesen) Für die Berechnung der Fördermitteleffizienz, die für die Auswahl der Vorhaben ausschlaggebend ist, werden Scope 1 und Scope 2 Emissionen berücksichtigt. Es ist nicht zwingend erforderlich, im gesamten Vorhaben eine Minderung der Treibhausgas-Emissionen von 40 Prozent zu erreichen, sondern lediglich bei den Scope 1 Emissionen. Allerdings senkt eine geringere Minderung von Treibhausgas-Emissionen (z. B. wenn durch erhöhten Strombezug aus dem deutschen Strommix die Scope 2 Emissionen deutlich steigen) die Fördermitteleffizienz. Durch eine geringere Fördermitteleffizienz wiederum mindert sich die Chance, dass sich das Vorhaben im Wettbewerb des Skizzenverfahrens durchsetzt. Betrachtet wird die Anlage, die Gegenstand der Förderung ist (s. u.). Die Berechnung der Treibhausgas-Minderung wird in der Förderrichtlinie (BIK 5.6.4 (2)) beschrieben.
Die Minderung bezieht sich auf die Differenz der Treibhausgas-Emissionen der Bestandsanlage und der zu errichtenden Anlage. Dabei sind (soweit möglich) eigene Anlagendaten zu verwenden.
Soweit die zu errichtende Anlage andere Rohstoffe einsetzt, andere Produkte erzeugt oder eine andere Produktionsleistung hat als die Bestandsanlage, sind für die Ermittlung der damit verbundenen Treibhausgas-Emissionen standardisierte Emissionsfaktoren anzusetzen (s. EEW-Infoblatt).
Wenn Prozessschritte ausgelagert oder internalisiert werden sollen, z. B. durch Veränderungen der eingesetzten Rohstoffe, sind die Treibhausgas-Emissionen durch veränderte Stoffströme zu berücksichtigen.
Ist keine Bestandsanlage vorhanden, sollten die Treibhausgas-Emissionen der Vergleichsanlage auf Basis des EEW-Datenblatts ermittelt werden. In jedem Fall müssen validierte Daten verwendet werden. Die Vergleichsanlage ist vom Förderinteressierten plausibel darzulegen. (s. auch FAQ 7, weiterführende Beispiele, BIK 5.6.4)
Im Teilmodul 3 ist die potenzielle Treibhausgas-Minderung an einer Zielanlage nach erfolgreicher Skalierung der Technologie anzugeben.
-
Bei der Entwicklung eines Ersatzproduktes sind die THG-Einsparungen auf Basis des zu ersetzenden Produktes zu ermitteln. Es muss klar dargestellt werden, um welchen Anteil das CO₂-intensive Produkt realistisch durch das CO₂-ärmere Produkt ersetzt werden kann und welche THG-Einsparung aus diesem Ersatz resultiert.
Als Beispiel kann das Ersetzen von Zementklinker durch ein alternatives Bindemittel angesehen werden. Wenn 100.000 t/a Zementklinker ersetzt werden können (EEW: 0,94 t CO2/t) mindert das die THG-Emissionen um 94.000 t CO2/a. Wenn das neue Produkt (also das alternative Bindemittel) beispielsweise in der Produktion 44.000 t CO2/a verursacht, würde eine THG-Minderung von 50.000 t CO2/a angesetzt werden.
-
Die Emissionsfaktoren sind dem Informationsblatt „CO2-Faktoren Bundesförderung für Energie- und Ressourceneffizienz in der Wirtschaft (EEW)“ zu entnehmen.
Für die Bilanzierung der CO2-Minderung kann das Berechnungstool ESTEM genutzt werden. Dieses wurde entwickelt, um die Wirkung von Maßnahmen auf die Emission von Treibhausgasen zu ermitteln. Gedacht ist es für Förderinteressenten und Antragsteller, um fundierte und vergleichbare Angaben für die Fördermittelgebenden zu erstellen.
-
Ziel des Förderprogrammes ist die Minderung von emittierten Treibhausgasen. Dementsprechend ist häufig die Reduzierung von eingesetzten fossilen Energieträgern geplant. Ausgeschlossen von der Förderung sind daher Vorhaben, die Anlagen und Anlagenteile neu errichten wollen, in denen fossile Energieträger rein energetisch eingesetzt werden.
Ein häufig genutzter Weg der Dekarbonisierung und ein wichtiger Anwendungsbereich für Vorhaben im Modul 1 ist die Elektrifizierung von Anlagen und Anlagenteilen. Eine eventuelle Verwendung von CO₂-neutralem Strom kann beispielsweise durch Eigenerzeugung, Power Purchase Agreements (PPA) in der deutschen Gebotszone oder Herkunftsnachweise aus der deutschen Gebotszone erfolgen. Der Grünstromeinsatz ist nicht obligatorisch für förderfähige Vorhaben, senkt aber die Treibhausgas-Emissionen weiter und erhöht damit die Fördermitteleffizienz. Damit steigt die Chance, dass das Vorhaben im Rahmen des wettbewerblichen Skizzenverfahrens ausgewählt wird. Investitionen in die elektrische Infrastruktur des Standortes sind bis zum ersten Netzanschlusspunkt förderfähig.
Weitere (erneuerbare) Energiequellen wie Geothermie sind nicht explizit ausgeschlossen und daher möglich.
Wärmespeicher können als Teil einer Anlageninvestition förderfähige Kosten sein, wenn sie zur Treibhausgas-Minderung beitragen. Die Wärme sollte für den Einsatz als Prozesswärme gespeichert werden. Falls eine Rückverstromung der gespeicherten Wärme bzw. eines Teils davon geplant ist, wäre der Speicher bzw. der zu verstromende Anteil als Stromspeicher anzusehen und somit nicht förderfähig. Zu beachten ist außerdem stets die Voraussetzung der Innovativität und der Mindestminderung von 40 Prozent der Scope 1 Treibhausgas-Emissionen in der gesamten Anlage.
Nicht förderfähig sind Anlagen zur Erzeugung und Speicherung elektrischer Energie sowie externe Wärmenetze. Die Produktion von Wasserstoff und darauf basierender Energieträger ist nur förderfähig, wenn sie im Vorhaben selbst genutzt werden. Anlagen zur Speicherung von Wasserstoff sind in bestimmten Fällen förderfähig, wenn die zu errichtende Infrastruktur erforderlich ist, um die angestrebte Treibhausgas-Minderung zu erreichen. (s. BIK 5.5.2 (5)) Das gilt auch für die Infrastruktur, die zum Anschluss an das künftige Wasserstoff-Pipelinenetz nötig ist.
Biomasse ist in der Regel nicht förderfähig. Für den energetischen Einsatz muss der Nachweis erbracht werden, dass die Elektrifizierung beziehungsweise die Wasserstoffnutzung nicht sinnvoll möglich ist. Außerdem muss die Nutzung der begrenzten nachhaltigen Biomassepotenziale nachweislich skalierbar sein. (s. BIK 5.2 (5)) Biogas unterliegt dabei denselben Anforderungen wie Biomasse.
-
Im Teilmodul 2 ist der Einsatz von fossilen Brennstoffen in geförderten Anlagen nicht zulässig (vgl. Nr. 5.1 (3) e der Förderrichtlinie). Ein Beispiel: Eine hybride Wärmeerzeugungsanlage mit Einsatz von Erdgas/Strom ist nicht förderfähig.
Im Teilmodul 1 ist der Einsatz von fossilen Brennstoffen in neuen Anlagen nicht zulässig, in Bestandsanlagen jedoch, sofern die Investition der Installation einer Zusatzkomponente dient, durch diese die Bestandsanlage umweltverträglicher genutzt werden kann. Es darf aber weder zu einer Erhöhung der Produktionskapazität, noch zu einer Erhöhung des Einsatzes von fossilen Brennstoffen kommen. Bestandsanlagen bezeichnen dabei Anlagen, die in dieser Form (Kapazität, Standort …) regulär betrieben wurden.
-
Das Informationsblatt CO₂-Faktoren des EEW (s. FAQ „Welche Emissionsfaktoren sind zu verwenden?“) führt bei einem Energieträgerwechsel (z. B. von Erdgas zu Strom) den Wert 0,107 t CO2 je Megawattstunde Strom an. Für die Berechnung der Emissionseinsparung ist dieser Wert für den zusätzlichen Stromeinsatz anzusetzen, der aus dem Vorhaben und dem Ersatz fossiler Energieträger resultiert.
Die Verwendung elektrischer Energie aus erneuerbaren Quellen – „Grünstrom“ – kann unter bestimmten Voraussetzungen dazu berechtigen, für diese Energiequelle einen CO₂-Faktor von 0 t CO₂/MWh anzunehmen. Diese Voraussetzungen basieren auf der Delegierten Verordnung (EU) 2023/1184 der Kommission als Ergänzung der Richtlinie (EU) 2018/2001 (RED II) des Europäischen Parlaments und des Rates. Eine sehr gute grafische Zusammenfassung darüber liefert die Forschungsstelle für Energiewirtschaft (FfE):
Copyright: Forschungsstelle für Energiewirtschaft (FfE)
Übersicht über die Strombezugsoptionen | © Forschungsstelle für Energiewirtschaft (FfE) Diese Veröffentlichung bezieht sich zwar auf die Herstellung von grünem Wasserstoff, die Kriterien für den dafür eingesetzten Strom gelten jedoch genauso für den direkten Einsatz als Grünstrom.
Wie in der Grafik dargestellt ist, gibt es verschiedene Optionen, wie genutzter Strom als „grün“ eingeordnet werden kann. Diese sind auf der Website der Forschungsstelle für Energiewirtschaft (FfE) ausführlich beschrieben. Zu dem in der Grafik dargestellten Direktbezug sowie Netzbezug über PPA ist zu ergänzen, dass die entsprechenden Anlagen in Betriebs- oder Investitionskosten nicht gefördert sein dürfen.
Derzeit gilt bis zum 31.12.2027 noch eine Übergangsfrist, in welcher der Zeitpunkt der Inbetriebnahme der Anlagen zur Erzeugung erneuerbarer Energie noch nicht relevant für die Förderfähigkeit ist. Ab dem 01.01.2028 dürfen diese nicht mehr als drei Jahre vor der Verbraucheranlage in Betrieb gegangen sein.
Die Anforderungen an den Grünstrom sind also durchaus hoch. Mindestens eine der (in der Grafik genannten) Optionen muss vollständig erfüllt werden, ansonsten kann der Faktor von 0 t CO₂/MWh nicht angenommen werden.
-
Die Nutzung von Wasserstoff ist im Rahmen der Förderung auf erneuerbaren Wasserstoff beschränkt. Als erneuerbarer Wasserstoff wird Wasserstoff bezeichnet, der im Einklang mit den Methoden der Richtlinie EU 2018/2001 (RED II) sowie ergänzend der Delegierten Verordnung (EU) 2023/1184 der Kommission des Europäischen Parlaments und des Rates steht und aus erneuerbaren Energiequellen erzeugt wird. In der Konsequenz kann im Rahmen der BIK ausschließlich erneuerbarer Wasserstoff gefördert werden, der durch Elektrolyse von Wasser mit erneuerbarem Strom erzeugt wurde. Der Einsatz von Wasserstoff, der aus Erdgas gewonnen wurde (insbesondere türkis/blau/grau) ist nicht möglich. Der Grund hierfür liegt in der beihilferechtlichen Grundlage. Der Temporary Crisis and Transition Framework (TCTF) wurde in der Energiekrise u. a. geschaffen, um die Abhängigkeit von Erdgas zu reduzieren. In der Folge ist für Förderungen, die auf dem TCTF-Beihilferahmen basieren, ein Fokus auf erneuerbaren Wasserstoff zu wählen.
Falls das Vorhaben den Einsatz von erneuerbarem Wasserstoff aus dem künftigen Wasserstoffkernnetz beinhaltet, muss plausibel dargestellt werden, dass der Bedarf an grünem Wasserstoff gedeckt werden kann und die sich daraus ergebende THG-Minderung nach aktueller Planung realistisch ist. Unsichere Vorhaben können nicht berücksichtigt werden. Bei Verzögerungen, die nicht selbst verschuldet sind und dazu führen, dass erst später erneuerbarer Wasserstoff eingesetzt werden kann, führt dies nicht zu Nachteilen für den Zuwendungsempfangenden, falls das Fremdverschulden nachgewiesen werden kann.
-
Investitionen in Elektrolyseure sind nur förderfähig, wenn diese ausschließlich erneuerbaren Wasserstoff gemäß den Vorgaben des delegierten Rechtsakts der EU-Kommission erzeugen und der hergestellte Wasserstoff ausschließlich direkt im eigenen Vorhaben. Hierbei muss es sich um einen dominierenden Einsatz innerhalb des Hauptprozesses handeln. Der Einsatz in Nebenprozessen, wie der Abgasbehandlung oder bei Transportmitteln innerhalb des Werkes, ist nur in nachrangigem Umfang zulässig. Der Einsatz zur Erzeugung elektrischer Energie ist nicht zulässig.
-
Wenn das Vorhaben im Zusammenhang mit Tätigkeiten steht, die unter das Emissionshandelssystem EHS nach Anhang 1 der Richtlinie 2003/87 fallen, sind in den Teilmodulen 1 und 2 besondere Anforderungen zu erfüllen.
In beiden Teilmodulen muss das Vorhaben dazu führen, dass die Emissionen der geförderten Anlage unter die einschlägigen Benchmarkwerte für die kostenlose Zuteilung gemäß der Durchführungsverordnung (EU) 2021/447 sinken. (s. BIK 5.3.1 (2) und 5.3.2 (2)) Entsprechend sind neben den THG-Emissionen auch die genannten Benchmarkwerte darzustellen.
Im Teilmodul 1 muss darüber hinaus bei „greenfield Investitionen“ (die im Teilmodul 2 generell ausgeschlossen sind) eine solche THG-Minderung erreicht werden, dass die geförderte Anlage 40 % weniger THG emittiert als der entsprechende Benchmarkwert (s. o.).
-
Eine Anlage ist eine Produktionseinheit in Gänze. Beispiele für die Anlagen sind die Anlagendefinitionen beziehungsweise Abgrenzungen im europäischen Emissionshandel. Produktspezifische Abgrenzungen sind dem Leitfaden Zuteilung 2021–2030 Teil 3 c, Spezielle Zuteilungsregeln für die Anwendung der Produkt-Emissionswerte – Definition der Bilanzgrenzen und spezifische Datenerfordernisse zum ETS zu entnehmen.
Im Teilmodul 1 ist auch die Umstellung von einzelnen Prozessschritten in einer Anlage möglich. Die Einsparung bezieht sich dann auf diesen Schritt. Erfolgt zum Beispiel in einer Anlage eine Änderung im Prozessschritt Erwärmung, dann wäre eine Umstellung der Erwärmung auf eine hybride Erwärmung mit mindestens 40 Prozent der Scope 1 Emissionseinsparung im Prozessschritt der Erwärmung nötig.
4. Finanzierung und Kosten
-
Grundsätzlich förderfähig sind alle Kosten, die im direkten Zusammenhang mit der Minderung der Treibhausgasemissionen stehen.
Bei Investitionsvorhaben sind das jene Investitionen, die dem Zuwendungsempfänger ermöglichen, über die Unionsnormen für den Umweltschutz hinauszugehen. Dabei werden speziell die umweltbezogenen Mehrkosten zu einem kontrafaktischen Szenario betrachtet. (s. auch Art. 36 Abs. 4 AGVO). Bei Forschungs- und Entwicklungsvorhaben können folgende Kosten als beihilfefähig angesehen werden (s. auch Art. 25 Abs. 3 und 4 AGVO):- Vorhabenbezogene Personalkosten
- Kosten für Instrumente und Ausrüstungen (für die Dauer des Vorhabens)
- Kosten für Gebäude und Grundstücke (für die Dauer des Vorhabens)
- Kosten für Auftragsforschung, Wissen und nach dem Arm's-length-Prinzip von Dritten oder in Lizenz erworbene Patente
- Beratungskosten
- Zusätzliche vorhabenbezogene Gemeinkosten sowie sonstige Betriebskosten, die unmittelbar durch das Vorhaben entstehen
- bei Durchführbarkeitsstudien die Kosten der Studie
Betriebskosten (OPEX) sind bei Forschungs- und Entwicklungsvorhaben förderfähig, solange sie unmittelbar durch das Vorhaben entstehen. Bei Investitionsvorhaben sind nur die Investitionsmehrkosten, nicht jedoch die Betriebskosten förderfähig. Eine Kumulierung mit Förderprogrammen, die OPEX-Kosten adressieren, ist aber möglich. (s. FAQ „Ist das Förderprogramm mit anderen Förderungen/Förderprogrammen kombinierbar?“)
-
Die Beihilfeintensität wird so festgesetzt, dass die Vorhabenumsetzung durch den Förderinteressenten bzw. Antragsteller möglich ist. Dabei gelten folgende Höchstwerte.
Modul 1, Teilmodul 1:
Hier beträgt die Beihilfeintensität maximal 40 Prozent der förderfähigen Kosten. Falls die Investition zu einer einhundertprozentigen Verringerung der Treibhausgasemissionen führt beträgt die Beihilfeintensität bis zu 50 Prozent.
Weitere Aufschläge sind für KMU möglich. Auf Antrag des Unternehmens kann für mittlere Unternehmen die Beihilfeintensität um 10 Prozentpunkte, für kleine Unternehmen um 20 Prozentpunkte erhöht werden.
Außerdem ist ein Aufschlag aufgrund der Lage in bestimmten Fördergebieten gemäß AEUV möglich.
Modul 1, Teilmodul 2:
Bei Elektrifizierungsvorhaben beträgt die maximale Beihilfeintensität 30 Prozent, bei Vorhaben zur Umstellung auf Wasserstoff (oder aus Wasserstoff gewonnener Brennstoffe) 60 Prozent der förderfähigen Kosten.
Modul 1, Teilmodul 3:
Für experimentelle Entwicklung beträgt die maximale Beihilfeintensität 25 Prozent, für industrielle Forschung sowie Durchführbarkeitsstudien maximal 50 Prozent. Bei inhaltlicher Überschneidung wird das Vorhaben eingeordnet, wo es den größten Anteil hat.
Aufschläge sind für KMU auf Antrag des Unternehmens möglich. Für mittlere Unternehmen kann die Beihilfeintensität um 10 Prozentpunkte, für kleine Unternehmen um 20 Prozentpunkte erhöht werden. Weiterhin sind gemäß Art. 25 Abs. 6 lit. b) bis d) AGVO Aufschläge möglich, die maximale Förderintensität kann bis zu 80 Prozent betragen.
Die Beihilfeintensität wird für jeden Antragsteller separat festgesetzt. Auch in Konsortien gibt es daher nicht automatisch eine einheitliche Förderquote. Aufschläge, wie die KMU-Erhöhung, gelten jeweils nur für den Antragsteller, der die Voraussetzungen erfüllt und nicht automatisch für das ganze Konsortium.
-
Ja, es gibt jeweils maximale Fördervolumen pro Vorhaben. Insgesamt sind im Fördermodul 1 bis zu 200 Millionen Euro pro Fördervorhaben förderfähig. Bei den einzelnen Teilmodulen im Fördermodul 1 ist wie folgt zu differenzieren, es gelten folgende maximale Fördersummen
- für das Teilmodul 1: 30 Millionen Euro pro Unternehmen
- für das Teilmodul 2: 200 Millionen Euro pro Unternehmen
- für das Teilmodul 3: 35 Millionen Euro (Industrielle Forschung), 25 Millionen Euro (Experimentelle Entwicklung), 8,25 Millionen Euro (Durchführbarkeitsstudie)
Bei gemischten Vorhaben ist es der Kategorie zuzuordnen, deren Kosten mehr als die Hälfte der Gesamtvorhabenkosten ausmacht.
-
Investitionsvorhaben können mit Gesamtinvestitionskosten ab 500.000 Euro (kleine und mittlere Unternehmen) bzw. ab 1 Million Euro (alle anderen Unternehmen) gefördert werden. Für Forschungs- und Entwicklungsvorhaben besteht keine Mindestvorgabe der Gesamtkosten.
-
Bei Investitionsvorhaben im Teilmodul 1 (Modul 1) sind lediglich die Investitionsmehrkosten im Vergleich mit einem kontrafaktischen Szenario (Referenzinvestition) förderfähig. Daher ist dieses in den einzureichenden Vorhabenunterlagen darzustellen. Das kontrafaktische Szenario beschreibt die Kostenaufstellung einer weniger umweltgerechten Investition, wie sie ohne Förderung durchgeführt werden könnte, z. B. eine neue fossil betriebene Anlage.
Die förderfähigen Kosten ergeben sich aus der Differenz zwischen den Investitionskosten und der Referenzinvestition. Vom Förderinteressenten muss eine Kostenschätzung der Referenzinvestition vorgelegt werden, die hinsichtlich Kapazität und Lebensdauer mit der geplanten Investition vergleichbar ist.
Alle möglichen Szenarien sind in der BIK unter Punkt 5.5.1 (2) bis (5) ausgeführt. Davon muss das für das Vorhaben zutreffende ausgewählt und in der Skizze begründet dargestellt werden. Es kann sich dabei auch um ein hypothetisches Szenario handeln, solange es plausibel dargestellt wurde und entsprechend nachvollzogen werden kann.
Wenn kein kontrafaktisches Szenario erwünscht ist, kann gemäß BIK 5.5.1 (3) unter Halbierung der Förderintensität auf die Nennung eines Szenarios verzichtet werden. In den Teilmodulen 2 und 3, d. h. bei Investitionen nach TCTF sowie bei Forschungs- und Entwicklungsvorhaben ist ein kontrafaktisches Szenario nicht notwendig (siehe FAQ 4.6, Beispiele unter FAQ 7.3).
-
Das kontrafaktische Szenario ist nicht notwendig bei Investitionsvorhaben nach TCTF (Teilmodul 2) sowie bei Forschungs- und Entwicklungsvorhaben (Teilmodul 3). Das kontrafaktische Szenario ist im Teilmodul 1 ebenfalls nicht nötig, wenn das Vorhaben die Installation einer Zusatzkomponente an einer bestehenden Anlage gemäß BIK 5.5.1 (4) oder den Bau einer gewidmeten Infrastruktur gemäß BIK 5.5.1 (5) umfasst. In allen anderen Fällen muss eine Darstellung eines kontrafaktischen Szenarios erfolgen.
Im Antrag des Förderinteressenten kann im Teilmodul 1 gemäß BIK 5.5.1 (3) auf das kontrafaktische Szenario verzichtet werden. Die förderfähigen Kosten sind dann die gesamten Investitionskosten, die in direktem Zusammenhang mit der THG-Minderung stehen. In diesem Fall wird jedoch die Förderintensität halbiert, und zwar nachdem alle weiteren Boni bzw. Aufschläge wie für KMU (s. BIK 5.5.1 (7)) oder bestimmte Fördergebiete einbezogen wurden. Für Beispiele siehe FAQ 7.3
-
Eine Kumulierung mit Fördermitteln aus anderen Programmen (EU, Bund, Länder) ist unter Berücksichtigung der Kumulierungsregeln nach Art. 8 Allgemeine Gruppenfreistellungsverordnung (AGVO) möglich. Es ist darauf zu achten, dass es nicht zu einer Überförderung oder unzulässigen Doppelförderung kommt.
Bei der Überprüfung der Einhaltung der festgelegten Anmeldeschwellen und Beihilfehöchstintensitäten werden die für das geförderte Vorhaben insgesamt gewährten staatlichen Beihilfen berücksichtigt. Der Zuwendungsempfänger ist verpflichtet, dem Zuwendungsgebenden unverzüglich mitzuteilen, wenn andere Fördermittel beantragt oder in Anspruch genommen werden. Soweit dieselben förderfähigen Kosten betroffen sind, darf durch eine Kumulierung mit staatlichen Fördermitteln aus anderen Programmen die zulässige Beihilfeobergrenze nicht überschritten werden. (s. BIK 9)
Das BMUV betreut mit dem Umweltinnovationsprogramm ein Förderprogramm mit ähnlicher Zielgruppe. In diesem ist eine Kumulierung ausgeschlossen. Des Weiteren zielt dieses auf Investitionen zur Minderung vom Umweltbelastungen (Bodenschutz, Abwasserbehandlung, …), während die BIK explizit die Reduzierung der Emission von klimarelevanten Treibhausgasen verfolgt.
Es ist nicht möglich, mit dem Erneuerbare-Energien-Gesetz (EEG) oder dem Kraft-Wärme-Kopplungsgesetz (KWKG) zu kumulieren, da nach BIK 4. (9) Maßnahmen explizit nicht förderfähig sind, die nach diesen beiden gefördert werden. Die Kumulierung mit dem Programm „Bundesförderung für Energie- und Ressourceneffizienz in der Wirtschaft“ (EEW) ist ebenso ausgeschlossen.
Das Förderprogramm „Klimaschutzverträge“ (KSV) stellt einen Sonderfall dar, da mit der Teilnahme am Auswahlprozess die Annahme der Förderung bereits verpflichtend wird. Basis sind die haushalterischen Budgetgrenzen und das Beihilferecht. In Einzelfällen kann es dazu kommen, dass die Förderprogramme BIK und KSV für dasselbe Vorhaben in Betracht kommen. Vorhaben können sich dann gleichzeitig für beide Förderungen bewerben. In Anspruch kann allerdings nur eine der beiden Förderungen genommen werden. Dadurch kann möglichst vielen Unternehmen eine bürokratiearme Förderung unter Beachtung des beihilferechtlichen Verbots der Doppelförderung ermöglicht werden.
Daraus ergibt sich die Regelung, dass ein Vorhaben, das eine KSV-Förderung erhält, keine BIK-Förderung erhalten kann. Falls bereits eine BIK-Zusage erfolgt ist, muss das Unternehmen von dieser zurücktreten, sobald eine Zusage für die KSV erteilt wird.
-
Bei Investitionsvorhaben ist ab 15 Millionen Euro Fördervolumen eine Kofinanzierung durch die Bundesländer vorgesehen. Das Bundesland, in dem die Investition stattfindet, muss mindestens 30 Prozent der beantragten Förderung finanzieren und dies schriftlich zusichern. Diese Bestätigung muss vor der Bescheiderteilung vorliegen, kann also im Laufe der Antragsphase erfolgen und muss nicht zwingend bei der Antragstellung eingereicht werden.
Unternehmen können dabei nicht freiwillig auf die 30 Prozent Finanzierung des Landes verzichten und ausschließlich die Bundesmittel beanspruchen. Die Beteiligung des Bundeslandes ist zwingend erforderlich, der Bund trägt den Anteil von maximal 70 Prozent der Förderung nur unter der Bedingung, dass die Landeskofinanzierung erfolgt.
Beispiele:
Fördervolumen des Vorhabens: 15.000.000,00 Euro
Kofinanzierung des Bundeslandes: nicht notwendig
Fördervolumen des Vorhabens: 20.000.000,00 Euro
Konfinanzierung des Bundeslandes: 6.000.000,00 Euro (30 Prozent von 20 Millionen Euro, nicht von der Differenz aus Fördervolumen und der Grenze von 15 Millionen Euro)
Wenn absehbar ist, dass das Vorhaben unter die Landes-Kofinanzierung fällt, sollte frühzeitig Kontakt zu dem entsprechenden Bundesland aufgenommen werden. Verantwortlich dafür ist der Förderinteressent selbst. Die Ansprechpartner der einzelnen Bundesländer werden auf der Webseite des Projektträgers bekannt gegeben.
5. Antragstellung
-
Ja, in jedem Förderaufruf werden die besten Skizzen, unter Berücksichtigung des tatsächlich verfügbaren Haushaltsvolumens, zur Antragstellung aufgefordert. Um diese wettbewerbliche Beurteilung zu ermöglichen, hat jeder Förderaufruf ein konkretes Zeitfenster zur Einreichung der Skizzen. Nach dem Ablauf der Frist zur Skizzeneinreichung werden alle eingereichten Skizzen begutachtet und anhand der Auswahlkriterien bewertet.
Nur die Skizzenphase beinhaltet eine wettbewerbliche Auswahl; sobald ein Vorhaben zur Antragstellung eingeladen wurde, gilt es dessen Inhalte und Finanzierung zu präzisieren, es kann aber nicht mehr durch ein Ranking ausscheiden.
Die Förderaufrufe werden getrennt für Modul 1 und Modul 2 erfolgen.
-
Die Bewilligung erfolgt durch ein zweistufiges Auswahlverfahren.
Im ersten Schritt ist während des Förderaufrufs eine Skizze beim Projektträger einzureichen. Diese muss aus wissenschaftlich-technischer Sicht bereits ausgereift und genau sein. Das Vorhaben und der Arbeitsplan müssen bereits ausgearbeitet und nachvollziehbar dargestellt werden. Änderungen sind im Nachhinein nur begründet in Einzelfällen möglich, z. B. durch unverschuldete äußere Umstände. Nach der Bewertung anhand der Auswahlkriterien (s. BIK 5.6.4) werden die besten Skizzen, unter Berücksichtigung des tatsächlich verfügbaren Haushaltsvolumens, zur Antragstellung aufgefordert. Damit endet der wettbewerbliche Auswahlprozess.
Im zweiten Schritt ist der Förderantrag (nur nach Aufforderung) über das Portal easy Online einzureichen. Die Angaben aus der Skizze sind detailliert zu begründen und nachzuweisen. Dazu gehört auch ein Finanzierungsplan, in dem alle Zuwendungen anzugeben sind. Nach ausführlicher Prüfung durch den Projektträger können die Anträge durch den Fördermittelgeber BMWE bewilligt werden.
-
Eine Skizze kann maximal 100 Punkte erhalten. (s. BIK 5.6.4)
70 Punkte werden für die (voraussichtliche) Fördermitteleffizienz vergeben. Das Vorhaben mit der höchsten (maximalen) voraussichtlichen Fördermitteleffizienz FEmax erhält 70 Punkte, das Vorhaben mit der niedrigsten (minimalen) Fördermitteleffizienz FEmin 0 Punkte. Alle Vorhaben dazwischen werden durch eine Formel bepunktet. Dabei geht die jeweils in der Vorhabenbeschreibung angegebene Fördermitteleffizienz als FEi ein. (s. BIK 5.6.4 (2))
70 × ((FEi - FEmin) ÷ (FEmax - FEmin))
Kleine Unternehmen erhalten zusätzlich 10 Punkte, mittlere Unternehmen 5 Punkte, wobei insgesamt dennoch maximal 70 Punkte in dieser Kategorie möglich sind.
Weitere 20 Punkte entfallen auf die Innovativität und den Demonstrationscharakter des Vorhabens.
10 Punkte können für weitere Umwelt- und Cross-Media-Effekte (z. B. Minderung von Stickoxidemissionen, Wasserverbrauch, Feinstaubbelastung etc.), besonders effizienten/nachhaltigen Energie- und/oder Materialeinsatz, Systemdienlichkeit für Energiewende und Sektorenkopplung sowie den Zeitplan der Umsetzung vergeben werden.
-
Bei Investitionsvorhaben bemisst sich die Fördermitteleffizienz an der erwarteten absoluten kumulierten Minderung von Treibhausgasemissionen (Scope 1 und 2, s. BIK 5.6.4 (2)) innerhalb von zehn Jahren nach operativem Beginn, geteilt durch die beantragten Fördermittel. Angegeben wird sie demnach in Tonnen CO2 pro Euro.
Bei Forschungs- und Entwicklungsvorhaben wird für die Berechnung der Fördermitteleffizienz die kumulierte Minderung von Treibhausgasemissionen innerhalb von 15 Jahren auf Basis der potenziellen Minderung einer Zielanlage ermittelt und zudem der Entwicklungsstand des Vorhabens berücksichtigt.
Für die Fördermitteleffizienz gibt es keinen Erwartungs- oder Mindestwert. Jedoch wird über die Auswahlkriterien (s. FAQ „Was sind die Auswahlkriterien?“) sichergestellt, dass Vorhaben mit hoher Fördermitteleffizienz priorisiert werden.
-
Die Förderrichtlinie BIK erlaubt grundsätzlich einen Antrag auf einen förderunschädlichen vorzeitigen Vorhabenbeginn (Nr. 4 (3) b)). Bedingung hierfür ist ein besonderes Eilinteresse. Aufgrund der kurzen Frist zur Antragseinreichung und der geplanten kurzen Frist zur Prüfung des Antrags sowie der vorgesehenen zeitnahen Bewilligung von Förderbescheiden ist bei einem solchen Antrag allenfalls mit einem geringen Zeitgewinn zu rechnen. Vor diesem Hintergrund kann ein besonderes Eilinteresse nur angenommen werden, wenn der Zugang eines Förderbescheides im Rahmen des kommunizierten Zeitplans das Vorhaben verhindern oder wesentlich verzögern würde. Dies ist im Falle der Beantragung eines förderunschädlichen vorzeitigen Vorhabenbeginns zwingend detailliert auszuführen und zu belegen. Wir weisen ergänzend darauf hin, dass ein Antrag auf förderunschädlichen vorzeitigen Vorhabenbeginn die Prüfung des Förderantrags und damit die mögliche Erteilung eines Zuwendungsbescheids verzögern wird. Aus diesen Gründen empfehlen wir, von der Stellung eines Antrags auf förderunschädlichen vorzeitigen Vorhabenbeginn abzusehen und stattdessen die Antragseinreichung möglichst schnell und vollständig umzusetzen.
-
Inhaltliche Anpassungen, wie eine veränderte Aufteilung der Arbeitsschritte in die Arbeitspakete, sind normal und ohne Probleme möglich. Änderungen des beantragten Fördervolumens sind generell nur begründet in Einzelfällen möglich, z. B. durch unverschuldete äußere Umstände. Im Allgemeinen ist die in der Skizze benannte Summe die maximale Förderhöhe.
Bei Änderungen der Beteiligten am Vorhaben, wenn beispielsweise einzelne Teile eines Konsortiums zurückziehen, muss auch das verbleibende Konsortium alle Anforderungen zu Konsortien und der Antragsberechtigung von Unternehmen der BIK erfüllen. Das Vorhaben muss auch in der neuen Zusammensetzung des Konsortiums sinnvoll durchführbar sein.
In jedem Fall sind weiterhin die Kriterien (wie die 40 Prozent THG-Minderung in Scope 1) zu erfüllen, sowie die Fördermitteleffizienz, mit der sich das Vorhaben im Wettbewerb durchgesetzt hat, zu erreichen.
6. Öffentlichkeitsarbeit und Berichtswesen zum Vorhaben
-
Ja, zum Beispiel werden Steckbriefe und Meldungen zu den geförderten Vorhaben veröffentlicht. Die Vorhabensteckbriefe werden nach der Bewilligung der Vorhaben hier auf der Website des KEI zur Verfügung gestellt.
-
Zur transparenten Kennzeichnung der Fördermittel sind alle Zuwendungsempfänger verpflichtet, in all ihren Kommunikationsaktivitäten zum Vorhaben auf die Förderung hinzuweisen. Das gilt beispielsweise für Publikationen, Berichte, Websites, Videos, Infostände, Veranstaltungen, Zusammenarbeit mit den Medien etc.
Mit Bewilligung stellt das Kommunikationsteam des KEI den Zuwendungsempfängern die entsprechenden Förderlogos und Kennzeichnungspflichten zur Verfügung.
-
Während der Durchführung des Vorhabens sind 2x jährlich ein fachlicher Zwischenbericht sowie 1x jährlich ein kaufmännischer Zwischennachweis vorzulegen. Nach Abschluss des Vorhabens sind ein Abschlussbericht und ein Verwendungsnachweis einzureichen. Durch Auflagen kann darüber hinaus eine regelmäßige Berichterstattung (z. B. zum Grünstrombezug) auferlegt werden.
Im Fall der Teilmodule 1 und 2 muss die Minderung der THG-Emissionen nachgewiesen werden, die in der Skizzenphase angegeben wurde und zum Erfolg im wettbewerblichen Auswahlverfahren geführt hat.
7. Weiterführende Beispiele
-
Ein Keramikhersteller möchte seinen gasbetriebenen Brennofen, der am Ende seiner Lebensdauer ist, durch einen elektrisch betriebenen Brennofen ersetzen. Ohne Förderung würde die Firma einen neuen Gasofen anschaffen.
Die Minderung der Emission von Treibhausgas ergibt sich aus der Reduzierung des Einsatzes von Erdgas als Brennstoff. Für die Bilanzierung müssen die Emissionen aus dem eingesetzten Strom für die neue Anlage beachtet werden.
Förderfähig sind dabei die Investitionskosten abzüglich der Anschaffungskosten eines neuen Gasofens mit gleicher Kapazität.
Ein Unternehmen der chemischen Produktion plant, einen Prozess so umzustellen, dass organische Lösungsmittel, die sonst am Ende der Synthese verbrannt werden würden, nicht mehr oder weniger benötigt werden. Ohne Förderung würde das Unternehmen die bisherige Anlage mit dem etablierten Prozess weiter nutzen.
Die Minderung der Treibhausgas-Emissionen ergibt sich durch die weniger verbrannten Lösungsmittel.
Förderfähig sind die Investitionskosten abzüglich der Kosten für Wartung und Instandhaltung der bestehenden Anlage für die prognostizierte restliche Lebensdauer bzw. die Nutzungsdauer der neuen Anlage.
-
Die Förderrichtlinie fordert, dass keine Verlagerung in andere Branchen stattfindet.
Ausgangssituation: Die bisherige Glaswanne ist erdgasbefeuert, setzt als Gemenge Quarzsand (SiO2), Soda (Na2CO3), Kalk (CaCO3) und Dolomit (CaCO3 x MgCO3), Feldspat und Pottasche (K2CO3) ein und produziert circa 300 Tonnen Glas pro Tag. Die eingesetzte Menge Kalk ist etwa 20 Tonnen pro Tag.
Geplant wird eine elektrisch beheizte Glaswanne gleicher Größenordnung, zusätzlich soll zur Minderung prozessbedingter Emissionen statt Kalk bereits entsäuerter Kalk in Form von gelöschtem Kalk (Ca(OH)2)[1] eingesetzt werden. Hier wird dann beim Schmelzen kein CO2 aus dem Carbonat ausgetrieben. Die Emissionen würden so aber in die Vorkette bzw. eine andere Branche verschoben. Um dies entsprechend zu berücksichtigen, sind die unterschiedlichen CO2-Faktoren für die Bereitstellung der Materialien anzusetzen.
Durch den bereits entsäuerten Kalk verändert sich auch die Einsatzmenge pro Tag, da sich die molekularen Massen unterscheiden. Der benötigte Rohstoff ist das Calcium, sodass dieses gleichbleiben muss. Ca(OH)2 hat ein Molgewicht von ca. 74 g/mol, CaCO3 von ca. 100 g/mol. Das Verhältnis der beiden ist somit 0,74. 20 Tonnen/d * 0,74 ergibt ca. 14,8 Tonnen Ca(OH)2 pro Tag.
Der Emissionsfaktor für Kalk (CaCO3) liegt nach dem EEW Infoblatt[2] bei 0,01 Tonnen CO2-Äq / Tonne Kalk, für gelöschten Kalk (Ca(OH)2) liegt er bei 0,92 Tonnen CO2-Äq / Tonne.
Der bisherige Einsatz von Kalk geht also einher mit Treibhausgas-Emissionen in Höhe von 20 t/d * 0,01 t CO2-Äq / t Kalk (= 0,2 t CO2-Äq) für die Bereitstellung des Kalks plus die durch die Glasschmelze ausgetriebenen rohstofflichen CO2-Emissionen aus dem Kalk/CaCO3 in Höhe von ca. 8,8 t CO2/d[3], in Summe also ca. 9,0 Tonnen CO2-Äq pro Tag.
Beim zukünftigen Einsatz verlagern sich die CO2-Emissionen in die Vorkette und betragen beim Einsatz von ca. 14,8 Tonnen Ca(OH)2 pro Tag mal 0,92 t CO2-Äq / t dann etwa 13,6 Tonnen CO2-Äq pro Tag.
Den Einsparungen in Höhe von 9 Tonnen CO2-Äq stehen also Emissionen in Höhe von 13,6 Tonnen CO2-Äq in der Vorkette gegenüber. In Summe kommt es durch die Anwendung von gelöschtem Kalk bzw. Calciumhydroxid zu Mehremissionen von circa 4,6 Tonnen CO2- Äquivalenten pro Tag. Diese wären bei der Berechnung der Gesamtminderungen des Vorhabens zu berücksichtigen.
[1] Gebrannter Kalk (CaO) ist derzeit auch eine diskutierte Option, hierfür enthält das EEW Infoblatt jedoch keine Daten. Berechnung verläuft dann analog.
[2] Bundesamt für Wirtschaft und Ausfuhrkontrolle: Informationsblatt CO2-Faktoren | Bundesförderung für Energie- und Ressourceneffizienz in der Wirtschaft – Zuschuss, Version 7.0 vom 15.02.2024 (https://www.bafa.de/SharedDocs/Downloads/DE/Energie/eew_infoblatt_co2_faktoren_2024.html)
[3] Berechnet über die Stoffmenge je Tag und die molare Masse: 20 t/d durch 100 g/mol = 200.000 mol, Die molare Masse von CO2 beträgt 44 g/mol, multipliziert mit 200.000 mol ergeben sich 8.800.000 g CO2/d bzw. 8,8 t CO2/d.
-
Allgemein:
BIK 5.5.1 (2) a) – weniger umweltfreundliche Investition
Anstatt einem elektrischen Dampferzeuger würde ein neuer fossil betriebener Dampferzeuger angeschafft.
BIK 5.5.1 (2) b) – dieselbe Investition, aber später
Der gleiche elektrische Dampferhitzer würde nicht jetzt angeschafft, sondern erst in 10 Jahren.
BIK 5.5.1 (2) c) – bestehende Anlagen bleiben in Betrieb
Ohne Förderung würde keine Investition stattfinden, sondern die bislang genutzten industriellen Anlagen weiter in Betrieb bleiben, und weiterhin gewartet und repariert werden.
BIK 5.5.1 (2) d) – Leasing von Anlagen
Es soll eine neue Anlage durch eine Leasingvereinbarung angeschafft werden. Anstatt einem elektrischen Brennofen würde ein neues fossiler Gasbrennofen geleast.
BIK 5.5.1 (3) – Verzicht auf ein kontrafaktisches Szenario
Aus verschiedenen Gründen (z.B. Aufwand, Wert der kontrafaktischen Investition) möchte das Unternehmen auf die Darstellung eines kontrafaktischen Szenarios verzichten. Dies ist möglich, wenn keines existiert, aber auch, wenn es eines gäbe. Das Unternehmen nimmt die Halbierung der Förderintensität in Kauf.
BIK 5.5.1 (4) – Zusatzkomponente
Das Unternehmen baut an eine bestehende Anlage eine Zusatzkomponente an. Diese soll z.B. bisher emittiertes Methan zu CO2 oxidieren. Durch das hohe Global Warming Potential von CH4 im Vergleich zu CO2 ist eine klare THG-Minderung gegeben. Es gibt keine kontrafaktische Investition, die weniger umweltfreundlich wäre. Die Kosten wären daher ohne kontrafaktisches Szenario förderfähig.
BIK 5.5.1 (5) – gewidmete Infrastruktur
Es soll Wasserstoff-Infrastruktur sowie ein Speicher für erneuerbaren Wasserstoff errichtet werden, der ausschließlich dem Antragsteller zur Verfügung steht. Diese ist nötig, um die THG-Emissionen des Standorts zu senken und übersteigt nicht die Kosten von 25 Mio. Euro. Die gesamten Investitionskosten sind ohne kontrafaktisches Szenario förderfähig.
Konkret am Beispiel eines Kalksteinwerks:
Ausgangslage:
- Jahresproduktion: 90.000 t, Energiebedarf für Dampferzeugung: 100 kWh/t → 9 Mio. kWh/a
- Bisherige Energieträger: Erdgas
- CO₂-Emissionen (Scope 1): anteilig 9.000 MWh × 0,201 kg CO₂/kWh = 1.809 t CO₂/a
- Umstellung der Prozesswärmeerzeugung von einer gasbefeuerten Brenneranlage auf eine elektrische Dampferzeugung.
BIK 5.5.1 (2) a) – Vergleich mit weniger klimafreundlicher Investition
Kontrafaktisch: Erneuerung der bestehenden Gasbrenneranlage (z. B. moderner Gasbrennwertkessel), welche im Vergleich zur elektrifizierten Lösung als weniger umweltfreundlich einzustufen ist.
Kosten für neue fossile Erdgaslösung: 1,2 Mio. €
Geförderte Investition (elektrisch): 3,5 Mio. €
Förderfähige Kosten: Differenz zwischen den Kosten der klimafreundlichen Investition und den Kosten der weniger umweltfreundlichen Investition: 3,5 Mio.€ - 1,2 Mio.€ = 2,3 Mio.€
BIK 5.5.1 (2) b): Vergleich mit späterer Umsetzung derselben Investition
Kontrafaktisch: Elektrifizierung wird ohne Förderung erst in 5 Jahren umgesetzt
Gesamtkosten dann (z. B. durch Preissteigerung, Inflation): 4,0 Mio. €
Abzinsung auf Jahr 0 bei 4 %:
Kapitalwert = 4,0 Mio. € ÷ (1 + 0,04)5 = 3,29 Mio. €
Förderfähige Kosten: Differenz zwischen den Kosten der sofortigen Investition und dem Kapitalwert der späteren Investition: 3,5 Mio.€ - 3,29 Mio.€ = 0,21 Mio.€
Die Förderung ist im Vergleich zur BIK 5.5.1 (2) a) wesentlich geringer, da das Unternehmen ohnehin investieren würde – nur später.
BIK 5.5.1 (2) c): Weiterbetrieb der Bestandsanlage mit Wartung & Reparatur
Kontrafaktisch: Bestehende Gaskessel werden weiter genutzt und regelmäßig gewartet
Erwartete Wartungs- & Reparaturkosten über 10 Jahre: 1,0 Mio. €
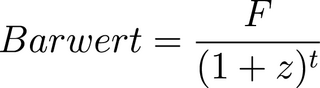
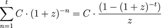
Abgezinst (Jährlich 100.000 € → Barwert über 10 Jahre, 4 %):
Kapitalwert = 100 000 × [1 - (1 + 0,04)-10] ÷ 0,04 ≈ 811.100 €
Förderfähige Kosten: Differenz zwischen den Kosten der sofortigen Investition und dem Kapitalwert der späteren Investition: 3,5 Mio. € - 811.100 € ≈ 2,69 Mio. €
Dies ist ein realistisches Szenario für Unternehmen, die aus Kostengründen nicht umrüsten wollen.
BIK 5.5.1 (2) d): Leasingvergleich (elektrische vs. gasbetriebene Lösung)
Geförderte Maßnahme: Leasing einer elektrischen Dampferzeugung
Leasingrate: 40.000 €/Monat × 10 Jahre → 4,8 Mio. € (jährlich 480.000 €)
Kapitalwert (4%): 480.000 € × [1 - (1 + 0,04)-10] ÷ 0,04 ≈ 3,9 Mio. €
Kontrafaktisch: Leasing einer Gasanlage
Leasingrate: 20.000 €/Monat × 10 Jahre → 2,4 Mio. € (jährlich 240.000€)
Kapitalwert (4 %): = 240.000 € × [1 - (1 + 0,04)-10] ÷ 0,04 ≈ 1,9 Mio. €
Förderfähige Kosten: Differenz zwischen den Kapitalwerten der Leasingkosten der klimafreundlichen Ausrüstung und der weniger klimafreundlichen Referenzausrüstung: 3,9 Mio.€ - 1,9 Mio.€ = 2,0 Mio.€
Achtung: Brennstoff- oder Betriebskosten werden bei Leasing nicht anerkannt!
Hinweise:
Abzinsungssatz: Durch die Europäische Kommission festgelegter Referenz- und Abzinsungssatz:
- Der Diskontsatz basiert in der Regel auf dem von der Europäischen Kommission festgelegten Referenz- und Abzinsungssatz, der für Deutschland gilt.
- Dieser wird regelmäßig aktualisiert und ist auf den Webseiten der Europäischen Kommission abrufbar.
- Die Kommission verlangt, dass der Abzinsungssatz eine zusätzliche Marge von 100 Basispunkten (bps) über den Basissatz (base rates) hinaus beinhaltet, um bestimmte regulatorische oder finanzielle Anpassungen zu berücksichtigen.
- Also, wenn der Basissatz, der von der Kommission festgelegt wurde, 1,5 % beträgt, ergibt sich der Abzinsungssatz wie folgt: Abzinsungssatz = Basissatz + 100 bps = 1,5% + 1% = 2,5%
- Dieser angepasste Abzinsungssatz (2,5 %) wird für die Berechnung von Kapitalwerten, Rückforderungszinsen oder anderen finanziellen Größen verwendet. Dies gewährleistet eine konsistente und standardisierte Methodik.
- Die getroffenen Annahmen (z. B. Investitionshöhe, Kalkulationszinssatz, Betrachtungszeitraum) sind transparent und nachvollziehbar im Wirtschaftlichkeitsnachweis zu dokumentieren.
- Es ist schlüssig darzulegen, welches der kontrafaktischen Szenarien dem realistischen „Business-as-Usual“-Verhalten des Unternehmens entspricht. Das gewählte kontrafaktische Szenario sollte hinsichtlich seiner Plausibilität begründet werden.
Kontakt
Projektträger Modul 1 Kompetenzzentrum Klimaschutz in energieintensiven Industrien (KEI) E-Mail schreiben
Beratungshotlines
Projektförderung:
– fachlich-technisch –
+49 355 47889-149
Sprechzeiten Hotline:
Montag bis Donnerstag, 9–13 Uhr
Fördermittelmanagement:
– kaufmännisch-rechtlich –
+49 355 47889-151
Sprechzeiten Hotline:
Dienstag & Donnerstag, 9–12 Uhr
